雨音的自学世界
首页
题目讲解
用户中心
menu
雨音的自学世界
欢迎进入雨音的自学世界
雨音的自学世界
欢迎进入雨音的自学世界
中等题/导数/拉格朗日中值为背景,我画个图先……
41
2026-02-01
查看更多
知识/排列组合/拆分法解决组合公式
36
2026-01-25
查看更多
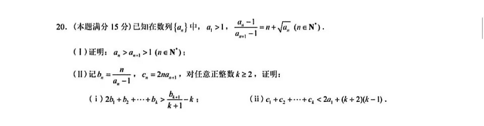
难题/数列/浙江风的常规放缩,观察数量级和本身结构的构造,望远镜求和的威力
119
2026-01-17
查看更多